近期,91国产
单长卷教授带领的作物抗逆与品质调控团队在Foods(中科院二区,IF=5.2)在线发表了题为“The effects of poly-γ-glutamic acid on the postharvest physiology and quality of strawberry cv. Hongyan during cold storage”的研究论文。该论文以我国广泛种植的红颜草莓果实为材料,从抗氧化代谢、软化代谢、外观品质、营养品质和口感品质等方面系统揭示了冷藏条件下聚谷氨酸调控草莓果实采后生理和品质的机制。
 |
| 图1 冷藏条件下聚谷氨酸对草莓果实保鲜效果的影响 |
| |
|
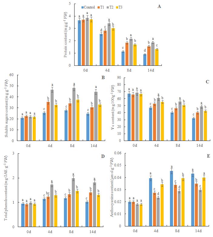
| 图2 冷藏条件下聚谷氨酸对草莓果实蛋白质含量(A)、可溶性糖含量(B)、Vc含量(C)、总酚含量(D)和花色素苷含量(E)的影响。 |
|
初审/李增强 复审/李志刚 终审/杨天佑